[新しいコレクション] }CNpe sXY 277423
Climatological Data New England Mperatures 3 3 Preciptoton Only Lt D O N On Recording Both Types I Lanbury Ne Durham 3 Nwr Lt V 4 Precipitatn I Lakeport 2
}CNpe sXY
}CNpe sXY-


Photodetection Edit Edit 11 N Dinu T Gys C Joram S Korpar Y Musienko V Puill D Renker 1 Requirements On Photodetectors 1 Sensitivity 2 Linearity Ppt Download


Ieee Pes T D Conference Exposition 18


Solved 1 Point Suppose The Electric Field In Space Uni Chegg Com


Chemical Symbol Wikipedia


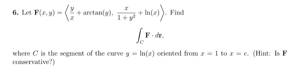
Solved 6 Let F X Y Arctan S 1 Pe N E F Chegg Com


Photodetection Edit Edit 11 N Dinu T Gys C Joram S Korpar Y Musienko V Puill D Renker 1 Requirements On Photodetectors 1 Sensitivity 2 Linearity Ppt Download


Additive Inverse Wikipedia


Photoelectron Spectroscopy Article Khan Academy


Photoelectron Spectroscopy Article Khan Academy


Gale Academic Onefile Document Dead Reckoning Using Play Patterns In A Simple 2d Multiplayer Online Game


Dihedral Angle Of C N Bond Highlighted Y Axis Versus Dihedral Angle Download Scientific Diagram


Copepoda Calanoida Copepoda Textfigure 1 Ca Anus Finmarchicus G 9 Labial Lobe Seen From In Front With Lamina Labialis And Serrula 6den Tata Etc X C 170 Textfigure 2 C Fin Iarckicus G Q


Solved 4 Let S 1 Y 2 Ryz 1 R 0 Y 0 2 0 A Chegg Com


Climatological Data New England Mperatures 3 3 Preciptoton Only Lt D O N On Recording Both Types I Lanbury Ne Durham 3 Nwr Lt V 4 Precipitatn I Lakeport 2


Appeec 18 Power System Planning And Operation


Solved 2 A Subset S Of A Metric Space X Is Called Dense Chegg Com


Tesa


Print British Museum


On The Pattern Recognition Of Noisy Subsequence Trees


Solve Y 2 2x 2y Dx 2x 3 Xy Dy 0 Mathematics Stack Exchange


Ieee Pes T D Conference Exposition 18


Solved 21 What Do You Call To A Well Defined Collection Chegg Com


Contour Plots Of X Y 2d Cuts Of The N Ag 111 Pes At Fi Xed Z Download Scientific Diagram


化工学院 绿色反应与新材料合成研究组


Species New To Science Botany 09 Impatiens Lobulifera S X Yu Y L Chen H N Qin New Balsaminaceae From Limestone Areas In Guangxi China


Spanish Alphabet Spanishdict


Solved 1 Partial Derivatives For Functions Of 2 Variable Chegg Com


Yy Super Males Have Better Spermatic Quality Than Xy Males In Red Tilapia Oreochromis Niloticus


Insight Into The General Rule For The Activation Of The X H Bonds X C N O S Induced By Chemisorbed Oxygen Atoms Physical Chemistry Chemical Physics Rsc Publishing


Consider The Unit Sphere S2 X Y Z Er3 X2 Y2 Z2 Chegg Com


Pdf Practical Zero Knowledge Arguments From Structured Reference Strings Semantic Scholar


Conformational Design Concepts For Anions In Ionic Liquids Chemical Science Rsc Publishing Doi 10 1039 D0scj


Solved 1 Recall That If X Is Normally Distributed With K Chegg Com




4 For The Ideal Column Shown By Solving The Differential Equation Elv 39 Pv 0 Determine A The Homeworklib


Publications Zhao Group


Pdf Deviation Inequalities For Separately Lipschitz Functionals Of Iterated Random Functions


Education Exchange The Westerly Sun


S Ome Useful D Ebug C Ommands For C Lear S Peed S Oftware D Evelopment K It Commands From Chap 7 By Pallav Laskar Ppt Download


Pes 19 Yasser Larouci Face By Tiitoo Pes Patch


Appeec 18 Renewable Sustainable Energy


Mathscene Vectors Lesson 5


For Given Simulation Reaction X S A G B S C G Kp1 500 Atm 2 Y S D S A G E G Kp2 00


Left Pes A F Metatarsal 2 G L Metatarsal 3 M R Metatarsal 4 S X Download Scientific Diagram


Appeec 18 Power System Analysis


Solved I A Let H Be The Set Of Points Inside And On T Chegg Com


Topology Notes In Greek


Ieee Pes T D Conference Exposition 18


Perpendicular Lines From Equation Analytic Geometry Video Khan Academy


Copepoda Calanoida Copepoda Text Fig 73 Scottocalamts Sccurifrons Th Scott A B Y9 St V Head And First Abdominal Somites X 33 C Yq St V Pes V Dext In Posterior View X


Pes 2130 General Physics Iii


Plural Nouns Guide


5 Ieee 802 1ah Provider Backbone Bridging


Model Numbers Canned Motor Pumps Pumps And Systems Products And Services Nikkiso Co Ltd


E5573fs 508 Mobile Wifi Rf Exposure Info Test Report Sar Fcc Calibration Huawei Technologies


Preserving Nanoscale Features In Polymers During Laser Induced Graphene Formation Using Sequential Infiltration Synthesis Nature Communications


Versatile Whole Organ Body Staining And Imaging Based On Electrolyte Gel Properties Of Biological Tissues Nature Communications


Acallable Product Is A Unit Of Capacity Sold To Self Selected Low Fare Customers Who Willingly Grant The Pdf Free Download


Midterm Exam Questions On Information Theory Fall 06 Ece 563 Docsity


Question 5 B Borrowed From Peter N Sorensen Amy Chegg Com


A Federated Query Answering System For Semantic Web Data Semantic Scholar


Graph Paper Composition Notebook Squared Graphing Paper 8 5 X 11 Math And Science 01 Notebooks Graph Paper Composition Notebook Graphing


Probing The Structures Of Gold Aluminum Alloy Clusters Au X Al Y A Joint Experimental And Theoretical Study Nanoscale Rsc Publishing Doi 10 1039 C6nra


Conservative Forces And Potential Energy Physics


Anyone Here Knows Anything Askmath


コメント
コメントを投稿